
İstanbul’da Milyonları Korkutan, Şoke Eden Görüntü! Cenazeler İBB otobüsüyle taşınmaya başladı…
İBB mezarlık müdürlüğünden gelen bilgilere göre İstanbul’da korona virüs salgın süreçlerinden dolayı gün içerisinde tam 231 kişi hayatını kaybetti. Bu durum karşısında adeta İstanbul’da bir ilk yaşandı. Cenazeleri artık son çare olarak İBB otobüs bagajında taşındığına şahit olundu.
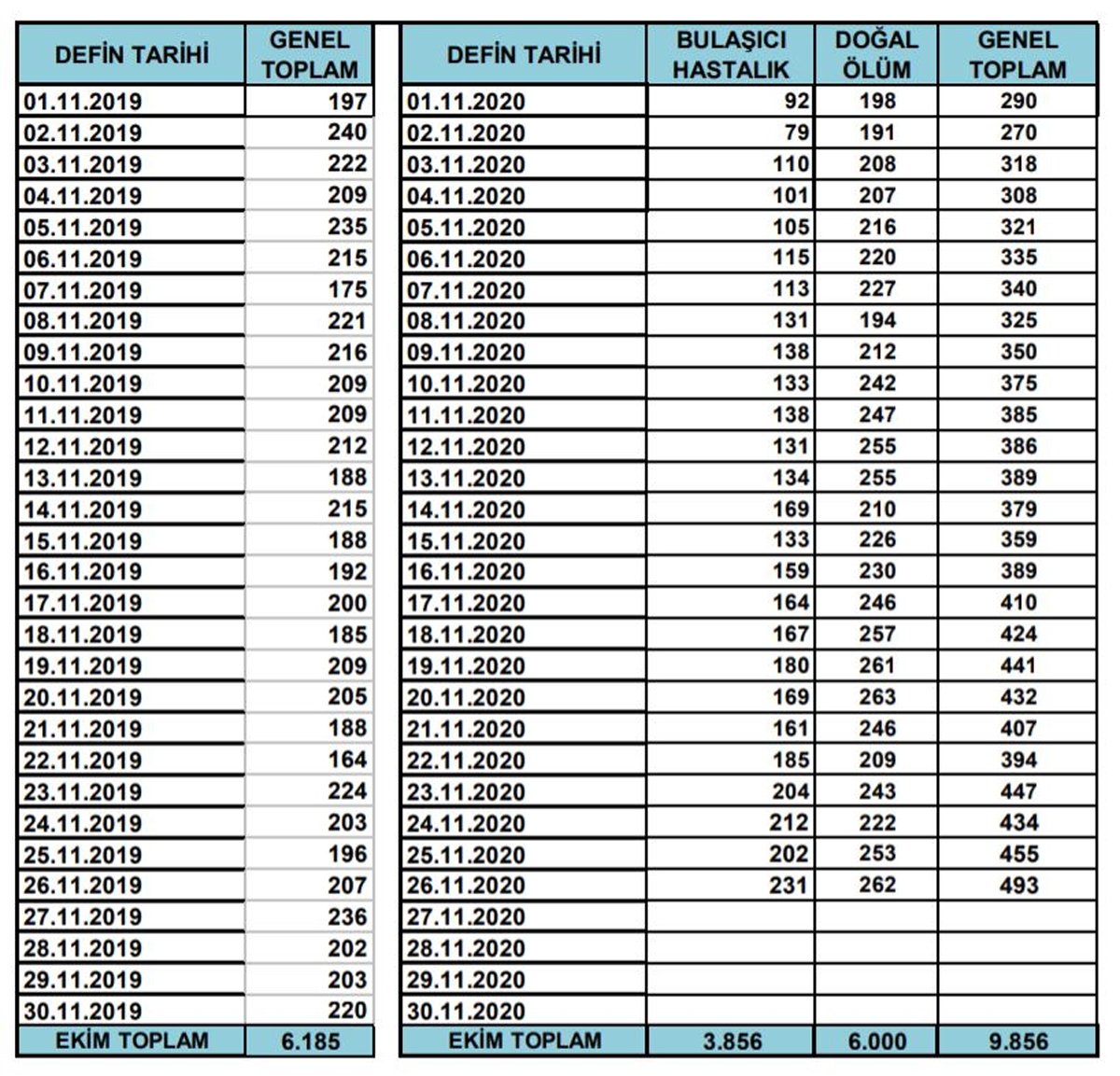
26 Kasım itibariyle bulaşıcı hastalık kodu ile İstanbul’daki sağlık kurumlarından İBB Mezarlık Daire Başkanlığına iletilen bilgilere göre hayatını kaybeden sayısı 231 oldu. Gün içinde ise toplam 493 kişi hayatını kayıp etti.
Cenazeler otobüs bagajlarında taşınıyor…
Yeni cenazelerin mezarları artık Kilyos mezarlığına defnedilirken Zincirlikuyu ve Alibeyköy mezarlığında defnedilmeyi bekleyen cenazeler İstanbul Büyükşehir Belediyesi otobüsleri ( İBB ) bagajlarında taşınıyor. Olay bir haber kanalı tarafından an be an görüntülendi.
Gasilhaneden görüntüler gelmeye devam ediyor…
İstanbul sınırlarında kısa sürede artan vaka sayılarından dolayı gün içerisinde 231 kişi hayatını korona virüs yüzünden kayıp etti. İstanbul gasilhanesinde meydana gelen görüntüler ortaya çıktı. İBB İyi Parti Grup Başkanvekili İbrahim Özkan bu süreçlerde mezarlıklar daire başkanlığı Küçükçekmece mezarlıklar gasilhanesinin önüne giderek herkesi derinden etkileyen görüntüleri paylaştı.
Bu görüntüler kapsamında yıkanmak için bekleyen cenazeler dikkatleri çekti. Çok sayıda hayatını kaybeden vatandaşın sırada yer aldığı gözlendi. Bu süreçlerdeİBB İyi Parti Grup Başkanvekili İbrahim Özkan; ‘’ Lütfen elimizde gelen her şeyi yapalım ve tedbirleri asla bırakmayalım. Maske – mesafe – temizlik kuralı hayatımızın en önemli parçası haline gelsin. ‘’ tarzında açıklamasını dile getirdi.
İmamoğlu durumu gündeme taşımıştı…
İstanbul Büyükşehir Belediye Başkanı Ekrem İmamoğlu; geçtiğimiz haftalarda yaptığı açıklama sırasında il genelinde bulaşıcı salgın yüzünden yaşanan günlük ölümlerin sayısını paylaşmaya devam ediyordu.
Sağlık bakanlığı ülke genelinde toplam salgın ile ölümlerin sayısının daha fazlasının İstanbul sınırlarında meydana geldiğini açıklamasının ardından kamuoyuna duyurulan verilerin ne kadar güvenilir olduğu tartışmalarına zemin hazırlamıştı.
Koca kendine gelen iddialara yanıt vermişti…
Korona virüs salgını için meydana gelen bilim kurulu toplantısının ardından sağlık bakanı Fahrettin Koca açıklamada bulundu. Yaptığı açıklama sırasında; ‘’ bu dönemde bizler tarafından vatandaşlara verilen tüm rakamların kesinlikle doğru olduğunu bildirmek isterim. Bu noktada herk kesimden insan, 83 milyon kişi ve yöneticiler de kendi üzerine düşenleri yapmak için gayretlerini sürdürmeye devam etmeli. Herkes sadece icraatlar için odaklanmayı tercih etmeli. ‘’ tarzında konuşması ile dikkatleri çekti.
Açıklanan verilerde bir anda dikkat çeken artış…
İstanbul sınırlarında meydana gelen vefat sayılarındaki ciddi artış tablo ile dikkat çekti. 2019 yılından bu süreçlere kadar ne kadar çok büyük farklar ile ölüm olduğu tablo ile daha net anlaşıldı.






HABERE YORUM KAT
Küfür, hakaret, rencide edici cümleler veya imalar, inançlara saldırı içeren, imla kuralları ile yazılmamış,
Türkçe karakter kullanılmayan ve büyük harflerle yazılmış yorumlar onaylanmamaktadır.